SCENARIO
Loss of Control
Secondary Impact
Bullitt
Multiple Impact
Passing Maneuver
Chain Reaction
Hydroplaning
Stability Control
Wheel Impact
DESCRIPTION
Evidence
Procedure
Results
Discussion
Questions & Answers
SCREENSHOTS
Peterbilt Tractor
Belly Dump Trailer
Ford Five Hundred
Environment
Crossing Centerline
Avoidance
Impact
Post-Impact
VIDEOS
Frontal Oblique View
Road-level View
Aerial Chase View
HVE OUTPUTS
Accident History
Driver Controls
Environment Data
Impact Forces
Impact Accelerations
Vehicle Data
Video Creator
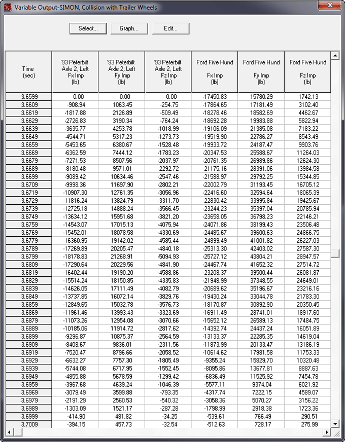
Variable Output Report showing Impact Forces vs Time for impact between
left, rear tractor drive wheels (At Wheel) and left, rear corner of Ford (Total)
Learn more about HVE, HVE-2D and HVE-CSI at
www.edccorp.com